数据库中的N元关系
来源:tutorialspoint
2023-08-21 19:25:29
0浏览
收藏
小伙伴们对数据库编程感兴趣吗?是否正在学习相关知识点?如果是,那么本文《数据库中的N元关系》,就很适合你,本篇文章讲解的知识点主要包括。在之后的文章中也会多多分享相关知识点,希望对大家的知识积累有所帮助!
关系是任何实体关系图的重要部分,因为它显示了两个不同实体之间的关系。在n-ary关系中,n表示关系中实体的数量。它可以是任何值,但最常见的关系是一元、二元和三元关系,其中实体的数量分别为一个、两个和三个。
关于一元、二元和三元关系的更多信息如下所示:
一元关系
当两个相同类型的实体之间存在关系时,称为一元或递归关系。这意味着关系是同一实体类型的不同实例之间的关系。一元关系的一些示例如下所示:
一对一一元关系
一个人一次只能与一个人结婚。因此,这是实体person与自身之间的递归关系。这是一对一递归关系,因为一个人与一个人结婚。
一对多一元关系
一个员工可以监督多个员工。因此,这是实体employee与自身之间的递归关系。这是一对多递归关系,因为一个员工监督多个员工。
二元关系
当两个不同实体之间存在关系时,称为二元关系。一些二元关系的示例如下所示:
一对一二元关系
每个员工只有一张身份证。因此,这是一对一二元关系,其中1个员工有1张身份证。
多对一二元关系
许多员工在一个部门工作。因此,这是多对一二元关系,其中许多员工在一个部门工作。
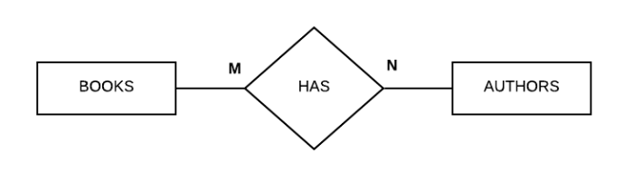
多对多二元关系
一本书可以有多位作者,或者多位作者可能写了一本书。因此,书和作者之间存在多对多关系,即许多书有许多作者。
三元关系
当三个不同实体之间存在关系时,称为三元关系。三元关系的一个示例如下所示:
在这个例子中,医生、患者和药物之间存在三元关系。
以上就是《数据库中的N元关系》的详细内容,更多关于的资料请关注golang学习网公众号!
版本声明
本文转载于:tutorialspoint 如有侵犯,请联系study_golang@163.com删除
在MySQL中交换两列的值?
- 上一篇
- 在MySQL中交换两列的值?
- 下一篇
- 我们如何从MySQL表中删除单行数据?
查看更多
最新文章
-
- 数据库 · MySQL | 4天前 | mysql 范式
- MySQL数据库范式有哪些?
- 271浏览 收藏
-
- 数据库 · MySQL | 5天前 |
- MySQL连接管理及连接池优化方法
- 338浏览 收藏
-
- 数据库 · MySQL | 6天前 |
- MySQL基础命令大全新手入门必看
- 419浏览 收藏
-
- 数据库 · MySQL | 1星期前 |
- MySQL多表连接查询技巧与方法
- 119浏览 收藏
-
- 数据库 · MySQL | 2星期前 |
- MySQL增删改查操作详解
- 127浏览 收藏
-
- 数据库 · MySQL | 2星期前 |
- MySQL权限管理与设置全攻略
- 137浏览 收藏
-
- 数据库 · MySQL | 2星期前 |
- MySQL权限管理设置全攻略
- 473浏览 收藏
-
- 数据库 · MySQL | 2星期前 |
- MySQL查询缓存配置与作用解析
- 140浏览 收藏
-
- 数据库 · MySQL | 3星期前 |
- MySQLwhere条件筛选全解析
- 252浏览 收藏
-
- 数据库 · MySQL | 3星期前 |
- MySQLIF函数详解与使用示例
- 434浏览 收藏
-
- 数据库 · MySQL | 3星期前 |
- mysql数据库基础命令 新手必学的mysql操作指令合集
- 233浏览 收藏
-
- 数据库 · MySQL | 3星期前 | mysql 聚合函数
- mysql数据库中聚合函数的功能_mysql数据库中统计函数的作用
- 385浏览 收藏
查看更多
课程推荐
-
- 前端进阶之JavaScript设计模式
- 设计模式是开发人员在软件开发过程中面临一般问题时的解决方案,代表了最佳的实践。本课程的主打内容包括JS常见设计模式以及具体应用场景,打造一站式知识长龙服务,适合有JS基础的同学学习。
- 543次学习
-
- GO语言核心编程课程
- 本课程采用真实案例,全面具体可落地,从理论到实践,一步一步将GO核心编程技术、编程思想、底层实现融会贯通,使学习者贴近时代脉搏,做IT互联网时代的弄潮儿。
- 516次学习
-
- 简单聊聊mysql8与网络通信
- 如有问题加微信:Le-studyg;在课程中,我们将首先介绍MySQL8的新特性,包括性能优化、安全增强、新数据类型等,帮助学生快速熟悉MySQL8的最新功能。接着,我们将深入解析MySQL的网络通信机制,包括协议、连接管理、数据传输等,让
- 500次学习
-
- JavaScript正则表达式基础与实战
- 在任何一门编程语言中,正则表达式,都是一项重要的知识,它提供了高效的字符串匹配与捕获机制,可以极大的简化程序设计。
- 487次学习
-
- 从零制作响应式网站—Grid布局
- 本系列教程将展示从零制作一个假想的网络科技公司官网,分为导航,轮播,关于我们,成功案例,服务流程,团队介绍,数据部分,公司动态,底部信息等内容区块。网站整体采用CSSGrid布局,支持响应式,有流畅过渡和展现动画。
- 485次学习
查看更多
AI推荐
-
- ChatExcel酷表
- ChatExcel酷表是由北京大学团队打造的Excel聊天机器人,用自然语言操控表格,简化数据处理,告别繁琐操作,提升工作效率!适用于学生、上班族及政府人员。
- 3643次使用
-
- Any绘本
- 探索Any绘本(anypicturebook.com/zh),一款开源免费的AI绘本创作工具,基于Google Gemini与Flux AI模型,让您轻松创作个性化绘本。适用于家庭、教育、创作等多种场景,零门槛,高自由度,技术透明,本地可控。
- 3906次使用
-
- 可赞AI
- 可赞AI,AI驱动的办公可视化智能工具,助您轻松实现文本与可视化元素高效转化。无论是智能文档生成、多格式文本解析,还是一键生成专业图表、脑图、知识卡片,可赞AI都能让信息处理更清晰高效。覆盖数据汇报、会议纪要、内容营销等全场景,大幅提升办公效率,降低专业门槛,是您提升工作效率的得力助手。
- 3849次使用
-
- 星月写作
- 星月写作是国内首款聚焦中文网络小说创作的AI辅助工具,解决网文作者从构思到变现的全流程痛点。AI扫榜、专属模板、全链路适配,助力新人快速上手,资深作者效率倍增。
- 5018次使用
-
- MagicLight
- MagicLight.ai是全球首款叙事驱动型AI动画视频创作平台,专注于解决从故事想法到完整动画的全流程痛点。它通过自研AI模型,保障角色、风格、场景高度一致性,让零动画经验者也能高效产出专业级叙事内容。广泛适用于独立创作者、动画工作室、教育机构及企业营销,助您轻松实现创意落地与商业化。
- 4223次使用
查看更多
相关文章
-
- MySQL主从切换的超详细步骤
- 2023-01-01 501浏览
-
- Mysql-普通索引的 change buffer
- 2023-01-25 501浏览
-
- MySQL高级进阶sql语句总结大全
- 2022-12-31 501浏览
-
- Mysql报错:message from server: * is blocked because of many
- 2023-02-24 501浏览
-
- 腾讯云大佬亲码“redis深度笔记”,不讲一句废话,全是精华
- 2023-02-22 501浏览

