赛博树突觉醒!AI 仿生革命:更少参数,更强性能,过拟合?不存在的!
知识点掌握了,还需要不断练习才能熟练运用。下面golang学习网给大家带来一个科技周边开发实战,手把手教大家学习《赛博树突觉醒!AI 仿生革命:更少参数,更强性能,过拟合?不存在的!》,在实现功能的过程中也带大家重新温习相关知识点,温故而知新,回头看看说不定又有不一样的感悟!

编辑丨&
人工神经网络(ANN)是大多数深度学习(DL)算法的核心,这些算法可以成功解决图像识别、自动驾驶和自然语言处理等复杂问题。然而,与能够高效解决类似问题的生物大脑不同,DL 算法需要大量可训练参数,这使得它们能耗高且容易过拟合。
来自希腊研究与技术基金会两位研究员示了一种新的 ANN 架构,它结合了生物树突的结构化连接和受限采样特性,抵消了这些限制。
树突状人工神经网络在多项图像分类任务中表现优于传统人工神经网络,同时使用的可训练参数明显较少。树突特性的结合可以使 ANN 中的学习更加精确、有弹性和参数高效,并为生物学特征如何影响 ANN 的学习策略提供了新的思路。
他们的研究以「Dendrites endow artificial neural networks with accurate, robust and parameter-efficient learning」为题,于 2025 年 1 月 22 日刊登于《Nature Communications》。

研究结果表明,树突特性的结合可以使 ANN 中的学习更加精确、有弹性和参数高效,并为生物学特征如何影响 ANN 的学习策略提供了新的思路。
生物树突与 DL
DL 架构在很大程度上依赖于受其生物对应物启发的多层人工神经网络(ANN)。在这些网络中,人工节点的构造通常是输入的线性加权和加上非线性激活函数,大致模仿生物神经元的胞体或轴突如何整合输入,并且通过更改这些节点之间的连接强度进行学习。
比之下,生物神经元要复杂得多,由一个体细胞、一个轴突和许多树突组成,使它们能够并行处理数千个突触输入,其方式在细胞类型之间差异很大。尽管生物神经元的体细胞和轴突功能在人工神经元中得到了突破,但目前缺少树突计算。
生物树突,因为它们能够产生局部再生事件(树突尖峰),与神经元胞体具有相似的尖峰特征。因此,生物神经元可以充当多层人工神经网络,能够执行复杂的计算。
鉴于树突的高计算能力和生物网络中的相关优势,目前人工神经元的设计似乎已经过时了。树突特性的掺入可能会增强人工神经网络的能力,培养更有效、更高效和更有弹性的学习行为,就像在生物网络中看到的那样。
上述主张得到了最近的研究的支持,这些研究将树突结构及其特性整合到传统人工神经网络中,在机器学习 (ML) 任务上显示出有希望的结果。
在这里,他们提出了一种生物逼真的树突状架构,旨在改善使用反向传播算法训练的人工神经网络的学习。在所提出的架构中,输入被部分采样并馈送到树突层,而树突层又以稀疏和高度结构化的方式连接到体细胞层。

通过结合树突结构和采样特征,所提出的树突状 ANN 模型在多个图像分类任务上匹配或优于传统 ANN,并抵消过拟合,同时使用的可训练参数减少了几个数量级。
这些改进可能是由于更广泛地使用了可训练权重,并且树突状 ANN 与传统 ANN 使用的学习策略不同。
总的来说,研究结果表明,树突可以在不牺牲其性能准确性的情况下提高人工神经网络的计算效率,为开发继承生物大脑一些主要优势的仿生 ML 系统开辟了新的途径。
树突 ANN 模型
在树突 ANN 模型中,每个树突都充当一个典型的点神经元:它线性地对其加权输入(突触)求和,并通过非线性传递总和。树突激活随后乘以电缆权重,并在胞体处求和,然后进行第二次非线性传递。
为了训练模型,他们将其实现为传统的 ANN,具有两个稀疏连接的隐藏层,分别代表树突和体细胞单元,以及一个完全连接的输出层。除此之外,他们还实现了一个具有相同层数的完全普通的 ANN 来进行对比。
除了结构化的连接性外,生物神经元的树突仅接收来自视觉场景的部分信息。为了研究这一特性的贡献,树突状 ANN 模型实施了三种类型的输入采样:a 输入特征(R)的随机采样,b 局部感受(LRF),其中每个树突都从图像的空间限制部分采样,以及 c 全局感受(GRF),其中所有树突都属于来自图像同一空间限制部分的 soma 样本。
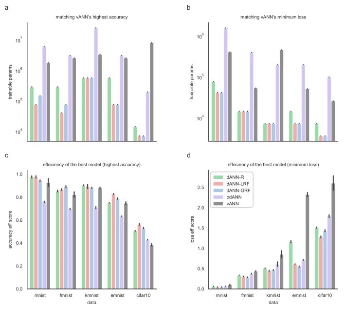
对于大小匹配和更大的 vANN 架构(就可训练参数而言),这三个树突状 ANN 比 vANN 模型更有效地实现了更好的学习和对抗过拟合。
这些过拟合减少并不像在 dANN 中看到的那么大,这表明这里测试的生物启发树突结构可能是更有效的正则化器。虽然这些发现并不构成与所有传统正则化方法的比较,但它们表明观察到的正则化是仿生结构的一个新兴特性。

图 2:树突特征改善了对时尚 MNIST 分类的学习。
除了过拟合的好处外,dANN 还通过使用更少的可训练参数来匹配 vANN 的最佳性能。
在测试的三种 dANN 配置中,具有局部感受的 dANN 是最有效的。它达到了最高的精度和最小的损耗,而可训练参数比 vANN 少了一个数量级以上。
最后,正如预期的那样,dANN 和 pdANN 模型中的学习随着网络大小的增加而提高。更重要的是,与其他仿生架构不同、dANN和 pdANN 模型随着层数的增加而表现出更好的性能或稳定性,揭示了它们在更深层次架构中使用的潜力。

图 3:树突提高了各种基准数据集的效率。
在所有测试的数据集中,dANN 模型表现出比 vANN 和 pdANN 更高的效率。然而,它比 vANN 更不容易受到过拟合的影响,从而在大多数测试的数据集中它实现相似准确性的较小损失。
图像辨别结果表明,对于更困难的任务,dANN 和 vANN 模型之间的差异可能更大。当任务难度增加时,在 ANN 中加入树突特征可能会带来更大的稳健性、准确性和效率增益。
研究讨论的小结
仿生机器学习是 AI 领域最前沿的方向之一,而生物树突及其学习机制正成为研究的热点。这些仿生设计已经在人工神经网络中展现出巨大的潜力,为相关领域的发展打开了新的可能性。
然而,主要依赖树突处理的生物网络的能力和效率仍远无法与相应的人工神经网络相匹配。为了解决这一困境,研究者们构建了一组树突状 ANN,利用生物树突的结构化连接和受限采样特征来增强学习。
全新的模型为在经典人工神经网络中采用树突特征可以获得的好处提供了新的见解,这些发现具有远大的前景,它们表明整合生物特征对于优化 ML 算法的可持续性和有效性至关重要。
相信这些优势与它们相对较好地扩展深度的能力相结合,能使所提出的 dANN 网络整合到 DL 架构中,成为经典 ANN 的潜在强大替代品。
论文链接:https://www.nature.com/articles/s41467-025-56297-9
好了,本文到此结束,带大家了解了《赛博树突觉醒!AI 仿生革命:更少参数,更强性能,过拟合?不存在的!》,希望本文对你有所帮助!关注golang学习网公众号,给大家分享更多科技周边知识!
芯视元“像素电路系统、像素电路系统的驱动方法和显示设备”专利获授权
- 上一篇
- 芯视元“像素电路系统、像素电路系统的驱动方法和显示设备”专利获授权
- 下一篇
- 英伟达平台上线DeepSeek R1
-
- 科技周边 · 人工智能 | 34秒前 | Hermes Agent HermesAgent
- 精准提交任务_减少 Hermes Agent 无效 Token 消耗的黄金法则
- 393浏览 收藏
-
- 科技周边 · 人工智能 | 6分钟前 | 夸克AI 夸克AI大模型
- 夸克AI怎么写岗位说明书_夸克AI组织架构梳理指南【组织发展】
- 190浏览 收藏
-
- 科技周边 · 人工智能 | 18分钟前 | openclaw
- OpenClaw自然语言交互:像聊天一样指挥电脑干活
- 147浏览 收藏
-
- 科技周边 · 人工智能 | 20分钟前 |
- Inkscape导入PS路径乱了咋办_Inkscape规整路径导入法【修复】
- 305浏览 收藏
-
- 科技周边 · 人工智能 | 27分钟前 |
- 怎么利用Perplexity快速对比不同云厂商的算力价格_检索AWS与Azure报价
- 217浏览 收藏
-
- 科技周边 · 人工智能 | 38分钟前 |
- 怎么用ai做舆情监控_AI全网信息抓取与品牌声誉分析报告生成
- 402浏览 收藏
-
- 科技周边 · 人工智能 | 39分钟前 | Mac 系统工具
- 装了 QClaw 之后,我卸掉了好几个 Mac 软件
- 323浏览 收藏
-
- 科技周边 · 人工智能 | 48分钟前 |
- 文心一言怎么快速提取PDF文件中的表格到Excel_利用其内置的文档解析插件进行转换
- 422浏览 收藏
-
- 科技周边 · 人工智能 | 1小时前 |
- JasperAI报告数据如何变交互式图表_JasperAI报告活化【活绘】
- 151浏览 收藏
-
- 科技周边 · 人工智能 | 1小时前 |
- 可灵AI直播预告视频_直播预热宣传片的快速制作
- 107浏览 收藏
-
- 科技周边 · 人工智能 | 2小时前 | DeepSeek
- DeepSeek新手如何快速入门?_DeepSeek保姆级安装与配置教程【指南】
- 168浏览 收藏
-
- 科技周边 · 人工智能 | 2小时前 |
- 豆包AI写文案技巧大公开
- 187浏览 收藏
-
- 前端进阶之JavaScript设计模式
- 设计模式是开发人员在软件开发过程中面临一般问题时的解决方案,代表了最佳的实践。本课程的主打内容包括JS常见设计模式以及具体应用场景,打造一站式知识长龙服务,适合有JS基础的同学学习。
- 543次学习
-
- GO语言核心编程课程
- 本课程采用真实案例,全面具体可落地,从理论到实践,一步一步将GO核心编程技术、编程思想、底层实现融会贯通,使学习者贴近时代脉搏,做IT互联网时代的弄潮儿。
- 516次学习
-
- 简单聊聊mysql8与网络通信
- 如有问题加微信:Le-studyg;在课程中,我们将首先介绍MySQL8的新特性,包括性能优化、安全增强、新数据类型等,帮助学生快速熟悉MySQL8的最新功能。接着,我们将深入解析MySQL的网络通信机制,包括协议、连接管理、数据传输等,让
- 500次学习
-
- JavaScript正则表达式基础与实战
- 在任何一门编程语言中,正则表达式,都是一项重要的知识,它提供了高效的字符串匹配与捕获机制,可以极大的简化程序设计。
- 487次学习
-
- 从零制作响应式网站—Grid布局
- 本系列教程将展示从零制作一个假想的网络科技公司官网,分为导航,轮播,关于我们,成功案例,服务流程,团队介绍,数据部分,公司动态,底部信息等内容区块。网站整体采用CSSGrid布局,支持响应式,有流畅过渡和展现动画。
- 485次学习
-
- ChatExcel酷表
- ChatExcel酷表是由北京大学团队打造的Excel聊天机器人,用自然语言操控表格,简化数据处理,告别繁琐操作,提升工作效率!适用于学生、上班族及政府人员。
- 4441次使用
-
- Any绘本
- 探索Any绘本(anypicturebook.com/zh),一款开源免费的AI绘本创作工具,基于Google Gemini与Flux AI模型,让您轻松创作个性化绘本。适用于家庭、教育、创作等多种场景,零门槛,高自由度,技术透明,本地可控。
- 4798次使用
-
- 可赞AI
- 可赞AI,AI驱动的办公可视化智能工具,助您轻松实现文本与可视化元素高效转化。无论是智能文档生成、多格式文本解析,还是一键生成专业图表、脑图、知识卡片,可赞AI都能让信息处理更清晰高效。覆盖数据汇报、会议纪要、内容营销等全场景,大幅提升办公效率,降低专业门槛,是您提升工作效率的得力助手。
- 4677次使用
-
- 星月写作
- 星月写作是国内首款聚焦中文网络小说创作的AI辅助工具,解决网文作者从构思到变现的全流程痛点。AI扫榜、专属模板、全链路适配,助力新人快速上手,资深作者效率倍增。
- 6462次使用
-
- MagicLight
- MagicLight.ai是全球首款叙事驱动型AI动画视频创作平台,专注于解决从故事想法到完整动画的全流程痛点。它通过自研AI模型,保障角色、风格、场景高度一致性,让零动画经验者也能高效产出专业级叙事内容。广泛适用于独立创作者、动画工作室、教育机构及企业营销,助您轻松实现创意落地与商业化。
- 5048次使用
-
- GPT-4王者加冕!读图做题性能炸天,凭自己就能考上斯坦福
- 2023-04-25 501浏览
-
- 单块V100训练模型提速72倍!尤洋团队新成果获AAAI 2023杰出论文奖
- 2023-04-24 501浏览
-
- ChatGPT 真的会接管世界吗?
- 2023-04-13 501浏览
-
- VR的终极形态是「假眼」?Neuralink前联合创始人掏出新产品:科学之眼!
- 2023-04-30 501浏览
-
- 实现实时制造可视性优势有哪些?
- 2023-04-15 501浏览

